
The City Government of Calbayog, thru the CITY ARTS & CULTURE OFFICE presents an 8-day celebration of "music and the arts" in the 22nd HADANG FESTIVAL in honor of OUR LADY OF NATIVITY with the "70 Days Countdown to 70 Years City Charter Anniversary."


SEPTEMBER 01
5PM - ARTS & CRAFT EXPO, Calle de Gelera
6PM - HADANG 2018 OPENING CEREMONIES,
CACO Theater, Nijaga Park
7PM - MUSIC JOURNEY Featuring CCC & ICC in Concert. CACO Theater, Nijaga Park
FIREWORKS DISPLAY
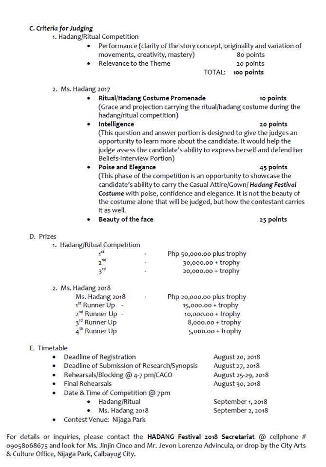
8PM - HADANG RITUAL COMPETITION, CACO Theater, Nijaga Park
5PM - ARTS & CRAFT EXPO, Calle de Gelera
6PM - HADANG 2018 OPENING CEREMONIES,
CACO Theater, Nijaga Park
7PM - MUSIC JOURNEY Featuring CCC & ICC in Concert. CACO Theater, Nijaga Park
FIREWORKS DISPLAY
8PM - HADANG RITUAL COMPETITION, CACO Theater, Nijaga Park


SEPTEMBER 02

9AM - ENCHANTMENTS:
Noel Sagayap 13th Solo Are Exhibit, I's Plant
Noel Sagayap 13th Solo Are Exhibit, I's Plant




















???SEPTEMBER 03

9AM - RADIANTE: Willy Labana First Solo Art Exhibit
Ciriaco Hotel & Resort, Barangay Bagacay, Calbayog City
9AM - LEGACY OF LEADERS: MUSTRA Art Exhibit
Ciriaco Hotel & Resort, Barangay Bagacay, Calbayog City
Ciriaco Hotel & Resort, Barangay Bagacay, Calbayog City
9AM - LEGACY OF LEADERS: MUSTRA Art Exhibit
Ciriaco Hotel & Resort, Barangay Bagacay, Calbayog City
2PM - 2nd OMBOK CHILDREN'S ART COMPETITION
Nijaga
Nijaga
2PM - 4th RAUL ISIDRO ON-THE-SPOT BODY PAINTING COMPETITION, Nijaga Park
7PM - SPOKEN WORD POETRY COMPETITION
CACO Theater, Nijaga Park
CACO Theater, Nijaga Park
9PM - CALBAYOG RAP COMPETITION, CACO Theater

SEPTEMBER 04
9AM - KADAYAU: CADSEV Cultural Tourism Art Exhibit
Centennial Pastoral Center, Sen. Pres. Jose Avelino Ave.
7PM - POST NO BILL 5, CACO Theater
9AM - KADAYAU: CADSEV Cultural Tourism Art Exhibit
Centennial Pastoral Center, Sen. Pres. Jose Avelino Ave.
7PM - POST NO BILL 5, CACO Theater
?9PM - PINOY HIP-HOP COMPETITION, CACO Theater

SEPTEMBER 05
3PM - GRAND DRUM COPS COMPETITION
CACO Theater, Nijaga Park
7PM - BASKETBALL WITH THE STARS
City Sports Center, Capoocan, Calbayog City
7PM - SMB NIGHT, Rawis Fair Center
CACO Theater, Nijaga Park
7PM - BASKETBALL WITH THE STARS
City Sports Center, Capoocan, Calbayog City
7PM - SMB NIGHT, Rawis Fair Center
SEPTEMBER 06

2PM - LAUNCHING OF COLORS & VISIONS MURAL PAINTING COMPETION, CACO Theater
7PM - HERMANA NIGHT, Ciriaco Hotel & Resort
7PM - HERMANA NIGHT, Ciriaco Hotel & Resort

8PM - RAKRUNGGIYA: Battle of the Bands
CACO Theater, Nijaga Park
CACO Theater, Nijaga Park

SEPTEMBER 07
7AM - CITY FIESTA PARADE, City Thoroughfares
6PM - MARIAN GRAND PROCESSION
City Thoroughfares
7PM - STRAKATS, CACO Theater
8PM - MC & LAZZY COMEDY CONCERT
Caco Theater, Nijaga Park
7AM - CITY FIESTA PARADE, City Thoroughfares
6PM - MARIAN GRAND PROCESSION
City Thoroughfares
7PM - STRAKATS, CACO Theater
8PM - MC & LAZZY COMEDY CONCERT
Caco Theater, Nijaga Park

10PM - EXBATALLION CONCERT, CACO Theater
FIREWORKS DISPLAY
THE MAJOR SPONSORS:
FIREWORKS DISPLAY
THE MAJOR SPONSORS:





































